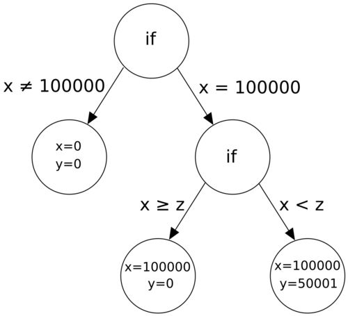
記号実行(Symbolic Execution)とコンコリックテスト(Concolic Testing)は、プログラムの特定の箇所を通るような入力値を生成する手法であり、ソフトウェアテストに関する研究においてよく登場する。元々なんとなく理解していたつもりだが、もう少しちゃ…
Quote saved.
Login to quote this blog
Failed to save quote. Please try again later.
You cannot quote because this article is private.